Огнезащитные краски представляют собой водные или органорастворимые высоконаполненные лакокрасочные композиции.
Процедура их нанесения на защищаемую конструкцию мало чем отличается от методов нанесения обычной лакокрасочной продукции.
Покрытие тонкослойного типа обеспечивает эстетичный вид строительных конструкций и, как правило, не требует дополнительной обработки поверхности защитными красками и эмалями, если это не предусмотрено требованиями эксплуатации.
Механизм огнезащитного действия реактивного покрытия заключается в том, что под действием пожара покрытие увеличивает свой объем с образованием прочного коксового слоя, обладающего низкой теплопроводностью и высокой устойчивостью к воздействию огня. Благодаря образованию термостойкого кокса на поверхности, стальная конструкция на время изолируется от температурного воздействия пламени (рис. 1).

Рисунок 1. Схема защиты стальной конструкции реактивным покрытием
Критерием эффективности огнезащитных покрытий для стальных конструкций является возможность обеспечения необходимого класса огнестойкости конструкции R, который означает промежуток времени от начала огневого воздействия до потери несущей способности в условиях, регламентируемых действующими нормативными документами.

Огнезащита стальной фермы покрытием Ammokote MW-60
По природе полимерной составляющей и интумесцентной системы краски для стальных конструкций делятся на четыре основные группы:
Реактивные покрытия все больше используются как средства пассивной огнезащиты конструкционной стали благодаря ряду преимуществ:
Основные виды перечисленных реактивных покрытий представлены на рынке Украины и имеют преимущества и недостатки (табл. 1). В соответствии с этим, их применение должно соответствовать требованиям и условиям нанесения, эксплуатации, экологии и предполагаемых огневых воздействий.
Таблица 1. Характеристики основных видов интумесцентных красок
| Свойства | Водные полифосфатные | Органорастворимые полифосфатные | Эпоксидные | С интеркальированным графитом |
| Эксплуатация | Внутри помещений | Внутри помещений | Внутри и снаружи помещений | Внутри и снаружи помещений |
| Летучие органические соединения (ЛОС), до, % | 5 | 35 | 20 | 55 |
| Время высыхания, час | 8 | 8 | 24 | 10 |
| Токсикологические и экологические факторы | Минимальное влияние | Высокий уровень воздействия | Средний уровень влияния | Высокий уровень воздействия |
| Рекомендуемые условия номинального пожара | Стандартный | Стандартный | Стандартный и углеводородный | Стандартный |
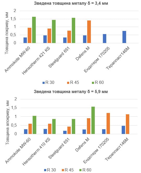
К существенным ограничениям применения большинства интумесцентных покрытий следует отнести те обстоятельства, что предел огнестойкости стальных конструкций (δ < 4 мм) только для некоторых красок, образующих тонкослойные покрытия (до 3 мм), превышает 60 мин (рис. 2).

Рисунок 2. Сравнение огнезащитной эффективности некоторых покрытий реактивного типа на водной основе, присутствующих на рынке огнезащиты Украины
Тем не менее, в ответ на растущее потребление реактивных покрытий для огнезащиты именно стальных конструкций на мировых рынках наблюдается стремительное увеличение класса огнестойкости стальных конструкций, которую может обеспечить интумесцентный способ огнезащиты.
За последние 10 лет в результате научных разработок и создания инновационных огнезащитных интуместных технологий наблюдается рост показателя R вдвое – с 90 до 180 мин.
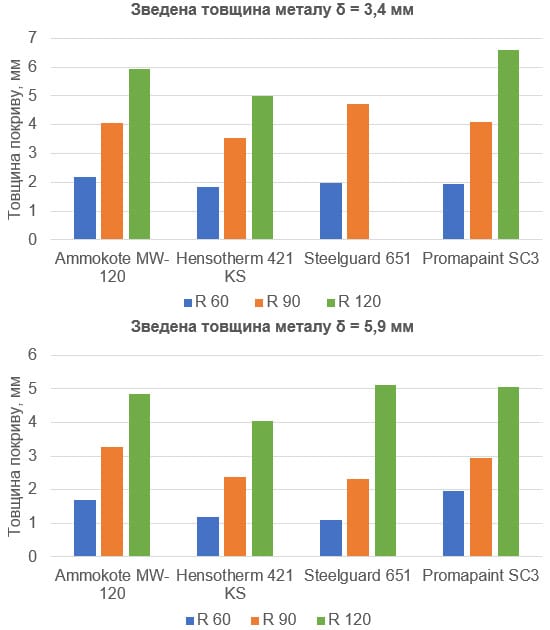
На рис. 3 представлено сравнение огнезащитной эффективности покрытий реактивного типа, присутствующих на украинском огнезащитном рынке и обеспечивающих класс огнестойкости R 120.

Рисунок 3. Сравнение огнезащитной эффективности некоторых покрытий реактивного типа на водной основе, обеспечивающих класс огнестойкости R 120
Реактивные средства огнезащиты содержат целый комплекс химических веществ, продукты термолиза и горение которых могут при пожаре негативно повлиять на организм человека и окружающую среду.
Следует также осторожно относиться к эксплуатации таких покрытий в открытой атмосфере даже под навесами из-за риска потери их работоспособности в условиях повышенной влажности. Качество интумесцентных красок принято определять по следующим основным характеристикам:



