Вогнезахисні фарби представляють собою водні або органорозчинні високонаповнені лакофарбові композиції.
Процедура їх нанесення на конструкцію, що захищається, мало чим відрізняється від методів нанесення звичайної лакофарбової продукції.
Покрив тонкошарового типу забезпечує естетичний вигляд будівельних конструкцій і, як правило, не потребує додаткової обробки поверхні захисними фарбами та емалями, якщо це не передбачено вимогами експлуатації.
Механізм вогнезахисної дії реактивного покриву полягає у тому, що під дією пожежі покрив збільшує свій об’єм з утворенням міцного коксового шару, який має низьку теплопровідність і високу стійкість до дії вогню. Завдяки утворенню термостійкого коксу на поверхні, сталева конструкція на деякий час ізолюється від температурного впливу полум’я (рис. 1)

Рисунок 1. Схема захисту сталевої конструкції реактивним покривом
Критерієм ефективності вогнезахисних покривів для сталевих конструкцій є можливість забезпечення необхідного класу вогнестійкості конструкції R, який означає проміжок часу від початку вогневого впливу до настання втрати несучої здатності в умовах, що регламентуються діючими нормативними документами.

Вогнезахист сталевої ферми покривом Ammokote MW-60
За природою полімерної складової та інтумесцентної системи фарби для сталевих конструкцій поділяються на чотири основні групи:
Реактивні покриви все більше використовуються як засоби пасивного вогнезахисту конструкційної сталі завдяки ряду переваг:
Основні види перелічених реактивних покривів представлені на ринку України та мають свої переваги та недоліки (табл. 1). Відповідно до цього їх застосування повинно відповідати вимогам та умовам нанесення, експлуатації, екології та передбачуваних вогневих впливів.
Таблиця 1. Характеристики основних видів інтумесцентних фарб
| Властивості | Водні поліфосфатні | Органорозчинні поліфосфатні | Епоксидні | З інтеркальованим графітом |
| Експлуатація | Усередині приміщень | Усередині приміщень | Всередині та зовні приміщень | Всередині та зовні приміщень |
| Летючі органічні сполуки (ЛОС), до, % | 5 | 35 | 20 | 55 |
| Час висихання, год | 8 | 8 | 24 | 10 |
| Токсикологічні та екологічні фактори | Мінімальний вплив | Високий рівень впливу | Середній рівень впливу | Високий рівень впливу |
| Рекомендовані умови номінальної пожежі | Стандартна | Стандартна | Стандартна та вуглеводнева | Стандартна |
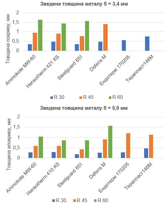
До суттєвих обмежень застосування більшості інтумесцентних покривів слід віднести ті обставини, що межа вогнестійкості сталевих конструкцій (δ < 4 мм) лише для деяких фарб, що утворюють тонкошарові покриви (до 3 мм) перевищує 60 хв (рис. 2).

Рисунок 2. Порівняння вогнезахисної ефективності деяких покривів реактивного типу на водній основі, що присутні на ринку вогнезахисту України
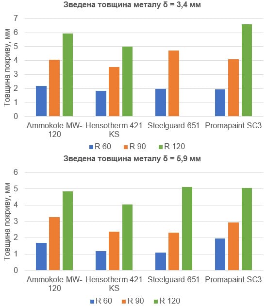
Тим не менш у відповідь на зростаюче споживання реактивних покривів для вогнезахисту саме сталевих конструкцій на світових ринках спостерігається стрімке збільшення класу вогнестійкості сталевих конструкцій, яку може забезпечити інтумесцентний спосіб вогнезахисту.
За останні 10 років в результаті наукових розробок та створення інноваційних вогнезахисних інтумесцентних технологій спостерігається зростання показника R вдвічі – з 90 до 180 хв.
На рис. 3 представлене порівняння вогнезахисної ефективності покривів реактивного типу, що присутні на українському вогнезахисному ринку та забезпечують клас вогнестійкості до R 120.

Рисунок 3. Порівняння вогнезахисної ефективності деяких покривів реактивного типу на водній основі, що забезпечують клас вогнестійкості до R 120
Реактивні засоби вогнезахисту містять у своєму складі цілий комплекс хімічних речовин, продукти термолізу та горіння яких можуть під час пожежі негативно вплинути на організм людини та навколишнє середовище.
Слід також обережно ставитися до експлуатації таких покривів у відкритій атмосфері навіть під навісами через ризик втрати їх працездатності в умовах підвищеної вологості. Якість інтумесцентних фарб прийнято визначати за такими основними характеристиками:



